柳叶刀:俄国新冠疫苗受质疑 再被要求公开源数据

上周(5 月 12 日),《柳叶刀》在线发表一篇针对俄罗斯卫星 V(Sputnik V)新冠疫苗 3 临床试验中期报告的评论文章。[1]


《柳叶刀》截图

这篇文章直指卫星 V 疫苗 3 期临床试验报告「存在明显错误、数据不一致」,类似声音在卫星 V 疫苗 1、2 期报告发布后也曾出现。

从去年 8 月 11 日普京宣布这款卫星 V 疫苗让俄罗斯成为世界上第一个注册新冠疫苗的国家(且他的女儿已经接种),到 3 期试验中期所报告高达 91.6% 的有效率,卫星 V 的每一步都受到研究者和公众热议。


作者整理数据,丁香园制图

被质疑的卫星 V 疫苗的前世今生

早在 2020 年 6 月,卫星 V 已开展试验,由伽马勒国家流行病学和微生物学研究中心和俄罗斯直接投资基金(RDIF)共同开发。

卫星 V 疫苗属于腺病毒载体疫苗,第一剂采用 26 型重组腺病毒(rAd26)载体,第二剂采用 rAd5 载体,均携带完整 SARS-CoV-2 糖蛋白 S。同为腺病毒技术路线的国外强生新冠疫苗使用的也是 rAd26,国内陈薇院士团队的康希诺新冠疫苗则选择 rAd5 作为载体。


卫星 V 疫苗作用简要原理

(图源 sputnikvaccine.com,丁香园翻译制图)

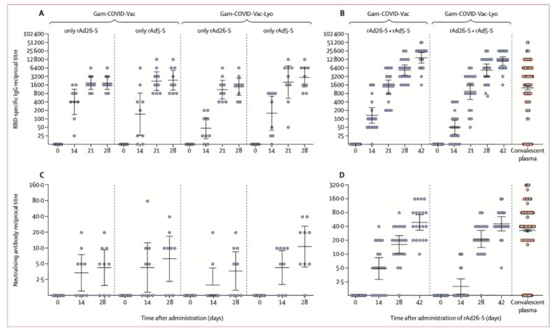
2020 年 9 月发布的 1、2 期临床试验报告 [2] 显示 , 不论接种冰冻或冻干工艺疫苗,全部 76 名受试者都出现针对 SARS-CoV-2 糖蛋白的抗体,血清结合抗体阳转率高达 100%,第 42 天,所有接受两针免疫的受试者血清中和抗体阳转率同样达到 100%。

此外,试验还检测了受试者抗原特异性 CD4+T 细胞和 CD8+T 细胞百分比,以及外周血单核细胞中抗原特异性 IFN-γ 分泌细胞群百分比以评价疫苗诱导的细胞免疫应答,结果显示疫苗显著增强了机体的细胞免疫应答。 卫星 V 疫苗 1、2 期数据发表仅仅 2 周后,同样在《柳叶刀》杂志,美国天普大学(Temple University)学者 Enrico Bucci 发表评论文章 [3] 表示「带着巨大兴趣研读了卫星 V 疫苗的结果」但仍有几处疑问,包括每个受试者具体的测量数值尚未公开、未说明有无涉及新冠康复者、不同亚组的数据存在相同数值、在完成入组的同一天结束试验是否有足够时间检测抗体数据等。

针对这篇评论,卫星 V 试验人员同日在《柳叶刀》网站发出回复 [4] ,表示每个个体数据可以从图中点对应的 Y 轴坐标得出。

至于被质疑的「结果中出现相同数值」问题,试验人员表示单次免疫后免疫应答高峰约在 3~4 周后出现,此时免疫指标可能进入平台期。

如下图中 A 部分,接种 rAdS-26 疫苗后 21~28 天抗体滴度基本不变,另外抗体滴度的数值在一个很小的范围内产生(ELISA 方法),例如 800、1600、3200、6400,因而一个规模较小的样本中出现一致的数值并非不可能。


卫星 V 疫苗 1、2 期试验报告中体液免疫应答情况

在《柳叶刀》杂志刊载 3 期数据前,疫苗开发中心 RDIF 曾在出现 39 例感染时发布临时结果:疫苗有效率 91.4%。


图源:www.rdif.ru

中期报告发布后,再被要求公开源数据

时间来到今年 2 月,卫星 V 疫苗 3 期临床试验发布中期报告 [5]:疫苗有效率高达 91.6%、可 100% 避免重症并对全年龄段表现出几乎一致的高有效性。

卫星 V 公布的高达 91.6% 有效率,即使与 mRNA 疫苗相比也未有逊色(例如辉瑞 mRNA 疫苗 95% 有效率和 Moderna 疫苗 94.1% 有效率)。并且卫星 V 疫苗不需超低温保存,进一步降低物流费用,单剂成本仅约 10 美元。


卫星 V 疫苗对比安慰剂,接种后感染情况 [5]

在 3 期试验中共记录 78 名受试者被确诊新冠,其中 16 名来自疫苗组,62 名来自安慰剂组,使用有效率=1-OR(比值比)公式得到有效率 91.6%。其中普通型或重型感染共 20 人,全部出于安慰剂组。


卫星 V 疫苗有效率计算方式 [5]

公布有效率之外,这份中期报告还描述了卫星 V 疫苗研究的一些其他数据。

卫星 V 试验受试者筛选条件与其他疫苗试验基本一致。条件包括年龄大于 18 岁、从未患有 Covid-19 和 HIV、乙型病毒性肝炎等疾病、入组前 30 日未接种各种疫苗等。2020 年 9 月 7 日至 11 月 24 日,21977 名受试者通过筛选,以 3:1 比例随机分组接种疫苗和安慰剂。

排除无接种第二剂和偏离试验流程的受试者,中期报告基于 14964 名疫苗组受试者和 4902 名安慰剂组受试者的结果进行分析,主要终点是接种后感染 Covid-19 的情况,接种后的感染情况相比抗体滴度、IFN-γ 等指标可以更直观地反映疫苗的保护作用。


不同年龄组免疫应答情况 [5]

安全性方面,卫星 V 数据结果同样表现出色,最常见不良反应是「流感样不适」、注射部位不适、头痛和疲乏,绝大多数(94%)不良反应程度为 1 级即无需额外干预。

此外,68 例严重不良事件经过独立数据监察委员会(Independent Data Monitoring Committee,IDMC)确认,均与该试验不相关。另外与 1、2 期试验类似,3 期试验中期报告也展示了部分受试者的体液免疫和细胞免疫指标检测结果。

然而,中期报告发布仅仅 3 天之后,俄罗斯高等经济学院流行病学家 Vasily Vlassov 等人发表评论,对中期报告提出数个具体问题。

质疑包括:卫星 V 试验在 ClinicalTrails.gov 上记录过的数据修订未被中期报告描述;以及 3 期试验从计划招募 40000 人到实际纳入中期分析的 21862人,入组人数经历数次变更,而「在有限的一组受试者中进行分析可能影响最终结果」。

3 个月后,天普大学 E.Bucci 等人再次在《柳叶刀》发出本文开头提到的评论文章 [1] ,要求卫星 V 试验方公开源数据。

E.Bucci 等人延续了前面流行病学家 Vasily Vlassov 等人的观点,就试验流程提出问题,包括如何判断「疑似 Covid-19 病例」、PCR 试验采用多少扩增周期等,并提出两处具体的数值问题:附录表格 S1 中各年龄组人数相加与表格所列总数一栏数值不相等、附录表格 S3 中两栏出现相同数据。


附录表格 S1 中,各年龄组人数相加和为 338,但总数栏为 342


附录表格 S3 中,安慰剂组出现了完全相同的基线数据

再次面对疑问,卫星 V 试验人员同样在《柳叶刀》网站给出答复 [6],表示卫星 V 疫苗 3 期试验中期数据「完全达到清晰、透明」的要求。


卫星 V 试验人员对 3 期中期数据质疑的回应 [6]

这项回复中提到,评论文章提出的附录表格人数问题「完全是输入错误」,同时解释了 ClinicalTrails.gov 记载的人数变动,被剔除的一部分人或因为中期分析时尚未完成随机化,或根据既定排除条件予以剔除。


卫星 V 试验人员回应附录表格问题完全是输入错误 [6]

试验人员表示,PCR 实验由正规注册检测系统在医院完成,评论中询问 PCR 扩增周期数显得有些「奇怪」。

他们指出,在阿根廷进行的试验结果提示,既往曾患 Covid-19 的人在接种一剂疫苗后即可出现快速、显著的抗体增加。

「Sputnik moment」

除了前文提到的质疑与关切外,卫星 V 疫苗作为全球首个完成注册的新冠疫苗,也曾多次收到外界的肯定和赞赏。

英国雷丁大学(University of Reading)生命科学学者 Ian Jones 和 Polly Roy 就认为卫星 V 兼具安全性和有效性 [7]。

美国威斯达研究所学者 Hildegund C.J. Ertl 则表示卫星 V 可以 100% 预防重症感染是其最重要的特性,并且卫星 V 只需普通冷藏,这将使卫星V在全球抗疫中发挥巨大作用。

在评论文章和卫星 V 试验方对话的几乎同时,5 月 6 日伽马勒国家流行病学和微生物学研究中心的实验室公布了 Sputnik Light,也就是单独注射卫星 V 第一剂(rAd26)疫苗的研究结果:截至注射后 28 天,Sputnik Light 有效性为79.4%,这个数据甚至赶超了部分两剂疫苗的有效性。RDIF 的 CEO 表示,期待 Sputnik Light 早日在印度投入正式使用。

当前,除在阿根廷、印度开展临床试验外,卫星 V 疫苗已经在一些国家投入使用。

去年 12 月,卫星 V 疫苗在白俄罗斯首次获得境外使用批准。今年 3 月,卫星 V 抵达斯洛伐克并被首相亲自迎接。匈牙利也购买了部分卫星 V 疫苗。

根据卫星 V 工作人员统计,截至 2021 年 5 月 5 日,全球约有 2000 万人已接种至少一剂卫星 V 疫苗。

最后分享一个小插曲:卫星 V 疫苗的名字「Sputnik」来源于 1957 年前苏联发射的人造卫星 Sputnik-1。


这张历史照片记录了一名技术人员对人类第一颗人造卫星 Sputnik-1 进行最后的调整

(图源:NASA / Asif A. Siddiqi)

1957 年 10 月 4 日,人造卫星 Sputnik-1 号成功发射并进入地球轨道,前苏联这次成功的发射震惊了全世界,也象征着人类社会正式开启太空时代,

最初,Sputnik 一词的意思是「旅行者」,但在现代俄语中,已成为「卫星」的代名词 [8],这个重大时刻也被前苏联记录为「卫星时刻(Sputnik moment)」。

本次新冠疫情中卫星 V 疫苗的出现,无疑为「Sputnik moment」这个单词再次增加了新的含义。(策划:gyouza)

致谢:本文经 中国科学院微生物学博士、知名科学博主 @二手的科学家 专业审核

推荐阅读